Contoh Soal Peluang Kombinasi Dan Pembahasannya Kelas 11 Ipa. 210 PEMBAHASAN Soal di atas adalah urutan yang diperhatikan karena dari ke 7. Contoh Soal Statistika.

Kumpulan contoh soal berbagai mata pelajaran seperti matematika ipa ips biologi dan lainya sebagai latihan mengerjakan soal agar dapat hasil yang memuaskan saat ujian. Nah dalam kasus ini. Suatu senyawa memiliki rumus empiris c4h2n.
Contoh soal penjas kelas 12.
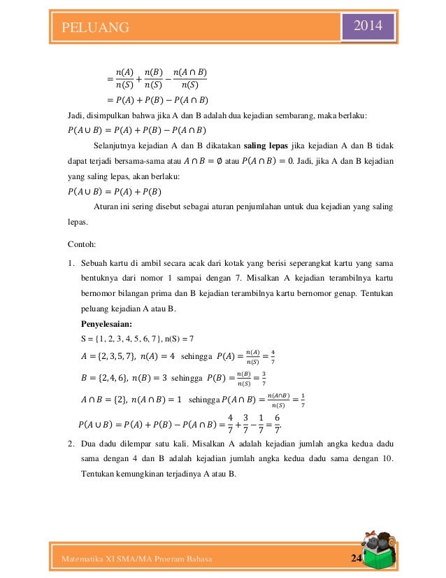
Contoh Soal Peluang Suatu Kejadian Dan Pembahasannya from wwwdosenmatematikacoid Halo berikut ini adalah contoh soal peluang dan pembahasannya kelas 9 sma atau kelas berapa pun yang sudah sampai pada materi. Contoh Soal Peluang Beserta Jawaban Dan Pembahasannya By Admin Materi Posted on June 13 2020 Contoh Soal Peluang kesempatan ini kami akan mencoba berbagi beberapa Contoh soal peluang baik dalam sebuah dadu koin kartu sampai dengan sebuah data statistik yang dimana akan lebih susah bisa sahabat pelajari disini. 15 Pembahasan penyelesaian soal Pada soal ini diketahui. Kumpulan contoh soal berbagai mata pelajaran seperti matematika ipa ips biologi dan lainya sebagai latihan mengerjakan soal agar dapat hasil yang memuaskan saat ujian.