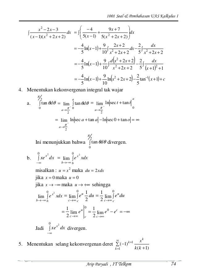
Dowload Soal Dan Pembahasan Integral Sma Kelas Xi Ipa. Semoga dapat dijadikan sebagai bahan referensi dalam belajar. Disini akan aku bahas materi sma ipa atau ips serta smk mengenai bab eksponen bukan hanya sekedar materi saja disini akan di bahas contoh soal dan pembahasan.

3 aug 2019 at 4 11 pm izin copy. Dalam kalkulus ada dua konsep dasar integral yang dipelajari yaitu integral tak tentu indefinite integral dan integral tentu definite integral. Soal Dan Pembahasan Trigonometri Kelas XI IPA - DOKUMENTIPS Soal dan Pembahasan Trigonometri kelas XI IPA Soal No.
3 aug 2019 at 4 11 pm izin copy.
Pelajari rangkuman materi integral dilengkapi dengan contoh soal integral beserta pembahasan jawaban lengkap dari soal UN dan SBMPTN untuk kelas 11 Pengertian Integral merupakan kebalikan dari turunan. Disini akan aku bahas materi sma ipa atau ips serta smk mengenai bab eksponen bukan hanya sekedar materi saja disini akan di bahas contoh soal dan pembahasan. Download rangkuman contoh soal turunan kelas xi 11 dalam bentuk pdf klik disini contoh soal pembahasan turunan kelas xi 11. Soal pilihan ganda ipa kelas x beserta jawabannya.