Kumpulan Materi Contoh Soal Pembahasan Fungsi Komposisi Kelas 10. Operasi aljabar fungsi contoh soal dan penyelesaian. Semoga dengan memahami latihan soal di atas anda bisa meningkatkan kemampuan anda untuk Semoga dengan memahami latihan soal di atas anda bisa meningkatkan kemampuan anda untuk menyelesaikan persoalan fungsi komposisi lainnya.

Fungsi kuadrat adalah fungsi fx ax² bx c yang mana a 0 dan a b. 40 Contoh Soal Prakarya kelas 10 semester 2 dan Jawabannya kurikulum 2013 2021Part3 untuk siswa SMAMASMKMAK Sederajat - Soal Prakarya dan Kwu kelas x semester genap bagian ketiga atau terakhir ini merupakan lanjutan 40 soal prakarya kelas 10 semester 2 objek budaya lokal sebelumnya latihan soal nomor 11-25 dengan berisikan materi yang sama yaitu wirausaha. Rumus fungsi invers dan fungsi komposisi contoh soal tweet ulasan materi matematika kali ini akan membahas rumus fungsi invers dan fungsi komposisi.
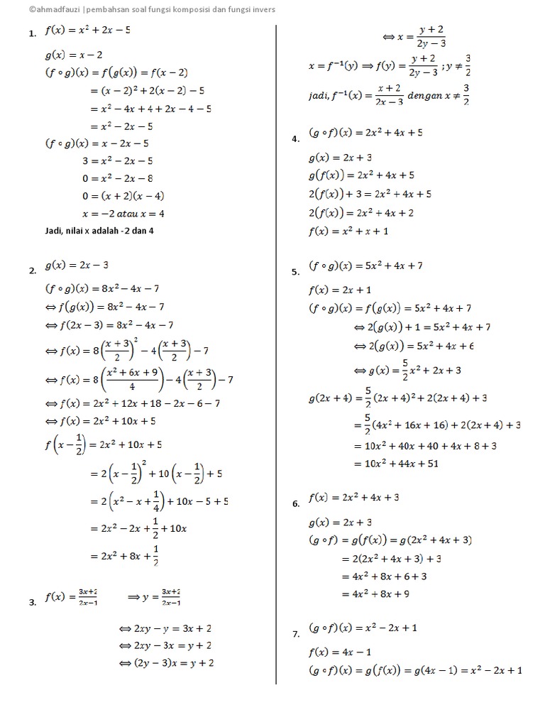
Agar lebih paham lagi akan disediakan pula kumpulan soal fungsi komposisi yang biasanya berupa fogoh atau fogx serta beberapa soal cerita fungsi komposisi di dalamnya.
Operasi fungsi komposisi tersebut biasa dilambangkan dengan o kemudian dapat dibaca komposisi ataupun bundaran. Operasi fungsi komposisi tersebut biasa dilambangkan dengan o kemudian dapat dibaca komposisi ataupun bundaran. Materi matematika tingkat SMA. Rumus fungsi invers dan fungsi komposisi contoh soal tweet ulasan materi matematika kali ini akan membahas rumus fungsi invers dan fungsi komposisi.