Kumpulan Soal Beserta Jawaban Tentang Diferensial Turunan

Materi Pendidikan dan Soal.

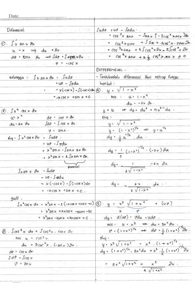
Kumpulan Soal Beserta Jawaban Tentang Diferensial Turunan. Bank Soal Aplikasi Turunan Diferensial Pilihan Ganda dan Kunci Jawaban beserta Pembahasan untuk Siswa yang berjumlah 20. Soal-soal berikut dikumpulkan dari berbagai sumber kemudian penulis rangkum dalam postingan ini.

Jagoan Belajar Contoh Soal Dan Pembahasan Turunan Differensial
Jagoan Belajar Contoh Soal Dan Pembahasan Turunan Differensial from jagoanbelajarprimamedica.blogspot.com

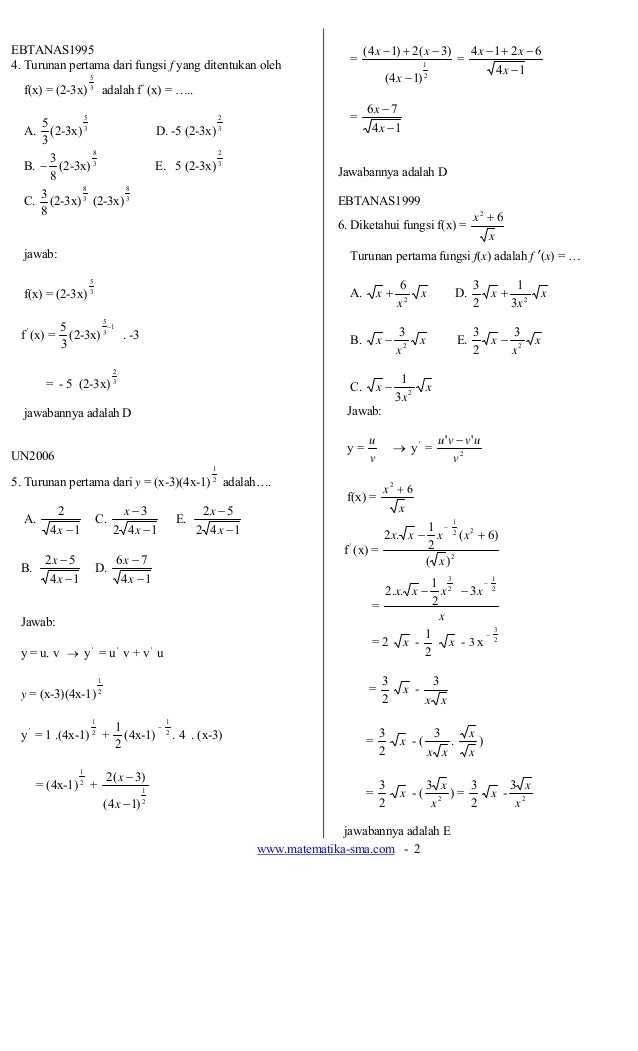
Nilai f 3 dari f x x 4x 3 adalah. A f x 3x 4 2x 2 5x f x. Rumus Diferensial Berikut rumus diferensial turunan fungsi.

Teori tentang limit sebuah fungsi merupakan akar dari aljabar kalkulus.

Oleh sebab itu uraian mengenai kalkulus selalu diawali dengan bahasan tentang limit. Nilai f 3 dari f x x 4x 3 adalah. Penjelasan singkat tentang definisi turunan beserta contoh dan penyelesaiannya. Oleh sebab itu uraian mengenai kalkulus selalu diawali dengan bahasan tentang limit.