Kumpulan Soal Cerita Spldv

Materi Pendidikan dan Soal.

Kumpulan Soal Cerita Spldv. Pada sudut pandang geometri nilai mutlak dari x ditulis sebagai x yaitu jarak dari x ke 0 pada garis bilangan real. Soal UN Matematika SMPMTs 2019.

Mat Peminatan Soal Cerita Spldv Dan Spltv Beserta Penyelesaiannya Riesz R R 23
Mat Peminatan Soal Cerita Spldv Dan Spltv Beserta Penyelesaiannya Riesz R R 23 from de.scribd.com

Pengertian dan cara menyelesaikan soal sistem persamaan linear dua variabel spldv dengan metode grafik lengkap sistem persamaan linear dua variabel sldv yaitu sebuah sistem kesatuan dari beberapa persamaan linear dua variabel yang sejenis. Contoh Soal Cerita Sistem Persamaan Linear Dua Variabel SPLDV Soal dan Cara Cepat Persamaan Linier Dua Variabel Sebelum lebih lanjut membahas tentang Contoh Soal Cerita Sistem Persamaan Linear Dua Variabel kamu harus paham dengan pengertian persamaan linear dan juga pengertian persamaan linear dua variabel SPDLV. Kumpulan Soal Cerita Berbentuk SPLDV dan Pembahasannya Lengkap 20 December 14 2017 A A - Dalam perhitungan matematika dan dalam kehidupan sehari-hari seringkali suatu masalah dapat diterjemahkan ke dalam model matematika yang berbentuk sistem persamaan.

Untuk menyelesaikan SPLDV soal cerita dibutuhkan pemisalan sehingga membentuk model matematika dan penyederhanaan sehingga terbentuk persamaan linear dua variabel.

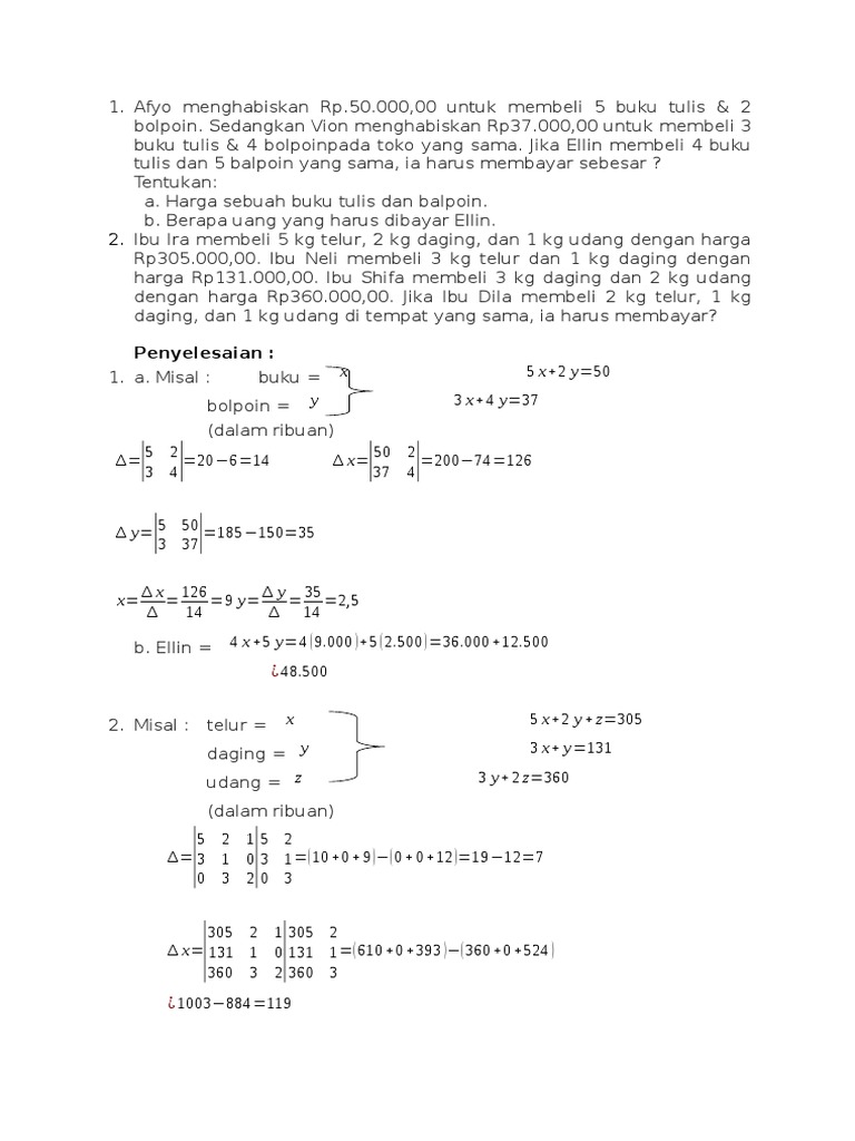
Contoh soal cerita spldv determinanArtikel ini berisi kumpulan contoh soal dan jawaban spltv sistem persamaan linear tiga variabel dengan metode subtitusi elimiasi campurangabungan determinan dan bentuk pecahan. Materi ini sebenarnya merupakan lanjutan dari materi spldv yang sudah dipelajari saat tingkat smp. Kumpulan Soal Cerita Berbentuk SPLDV dan Pembahasannya Lengkap 20 December 14 2017 A A - Dalam perhitungan matematika dan dalam kehidupan sehari-hari seringkali suatu masalah dapat diterjemahkan ke dalam model matematika yang berbentuk sistem persamaan. Penyelesaian yang paling umum dilakukan adalah dengan cara eliminasi substitusi atau eliminasi-substitusi.