Kumpulan Soal Dan Pembahasan Deret Fourier. Kumpulan contoh soal deret fourier dan penyelesaiannya. Kumpulan contoh soal deret fourier dan penyelesaiannya.

27 Contoh Soal Integral Fourier Dan Penyelesaiannya Kumpulan Contoh Soal 52 deret fourier fungsi periodik de nisi 521 deret fourier. Deret Dan Transformasi Fourier Majalah 1000guru. Deret Dan Transformasi Fourier Majalah 1000guru.
Dengan pembahasan soal ini diharapkan dapat membantu murid dalam memahami konsep dan rumus barisan dan deret aritmatika.
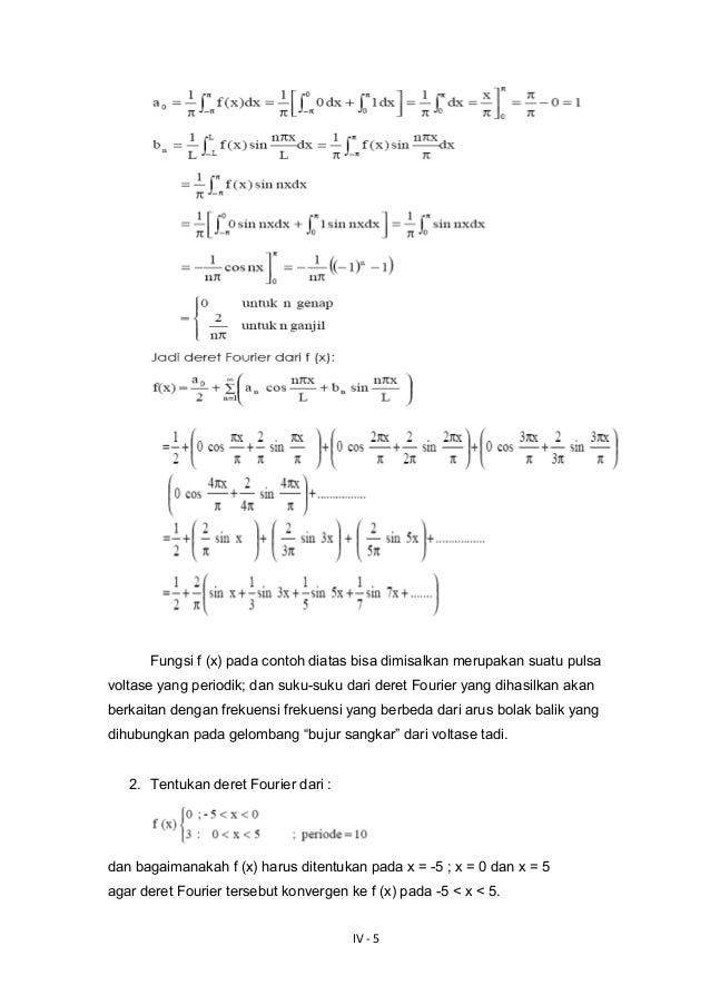
11 deret fourier 1 9 contoh soal transformasi lapace 5 8 transformasi laplace 5 7 transformasi lapalce 4 tabel transformasi lap. 04 Deret Fourier Gt. Contoh Soal Deret Fourier Dan Pembahasannya. Fadli SSi FAKULTAS KEGURUAN DAN ILMU PENDIDIKAN UNIVERSITAS PGRI PALEMBANG 2010.