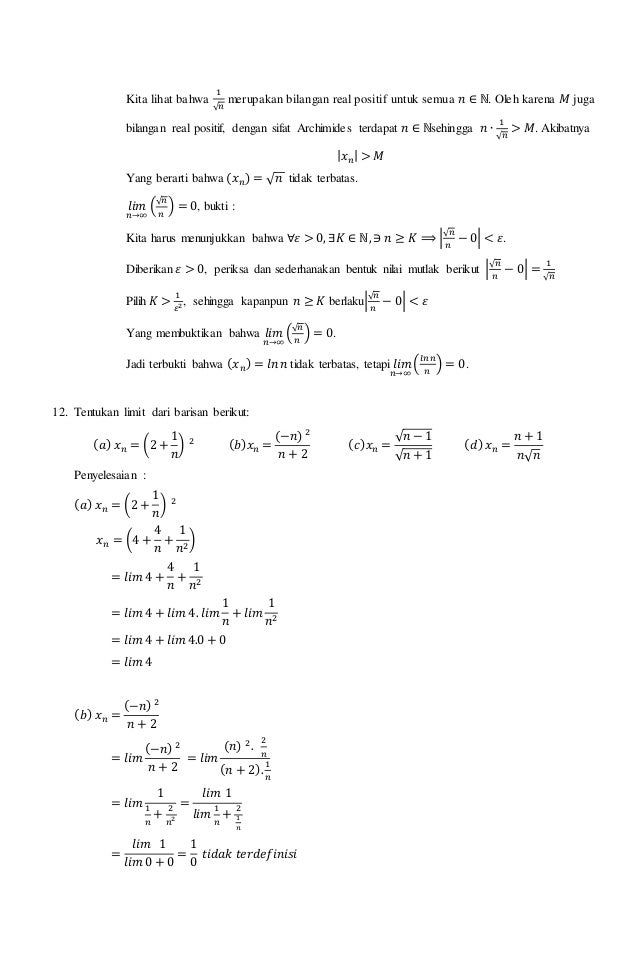
Kumpulan Soal Dan Pembahasan Tentang Sistem Bilangan Real. Sistem bilangan riil adalah himpunan yang dilengkapi dengan operasi. Bilangan real meliputi bilangan rasional seperti 42 dan 23129 dan bilangan irasional seperti p dan bilangan riil juga dapat dilambangkan sebagai salah satu titik dalam garis bilangan.

Pada sudut pandang geometri nilai mutlak dari x ditulis sebagai x yaitu jarak dari x ke 0 pada garis bilangan real. Bilangan Real Contoh Soal Dan Jawaban Pinterpandai Soal Matematika Kelas 3 Sd Bab 1 Bilangan Dan Kunci Jawaban Bimbel Bilangan Bulat Operasi Pengurangan Hadi Setyo On Blog Matematika Kelas 3 Sd Garis Bilangan. Contoh soal kalkulus dasar dan jawaban pembahasan kalkulus merupakan metode ini didasarkan pada turunan dan fungsi dengan metode yang didasarkan pada penjumlahan perbedaan yang sangat kecil.
Sistem Bilangan Real.
Dalam bidang matematika fisika dan kimia bilangan real digunakan dalam melakukan perhitungan menggunakan formularumus yang telah ada sehingga diperoleh solusinya. Jumlah usia mereka 14 tahun. 20200915 Soal dan jawaban tentang alat optik pilihan ganda soal dan pembahasan alat optik 10 buah. Sistem bilangan riil adalah himpunan yang dilengkapi dengan operasi.