Kumpulan Soal Ekonomi Kelas 12 Beserta Jawabannya

Materi Pendidikan dan Soal.

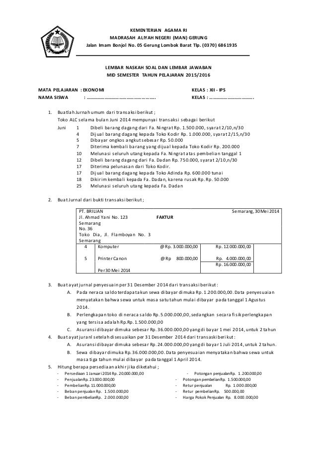
Kumpulan Soal Ekonomi Kelas 12 Beserta Jawabannya. Contoh Soal Pg Ekonomi Kelas 12 Lengkap Beserta Kunci Jawabannya Soal Dan Jawaban Hpp perusahaan dagang menyusun laporan keuangan perusahaan dagang posting jurnal khusus ke buku besar dan lain lain. Soal soal essay ekonomi kelas xii semester 1 beserta jawabannya berisikan materi ekonomi yang sama dengan contoh soal PG Ekonomi bab pertama yaitu perihal Siklus Akuntansi Perusahaan Dagang menyerupai pencatatan transaksi HPPMenghitung Harga Pokok Penjualan pemndahbukaun posting jurnal khusus ke buku besar dan lain-lain.

Soal Ekonomi Kelas Xii Semester 1 Dan Jawabannya Hal
Soal Ekonomi Kelas Xii Semester 1 Dan Jawabannya Hal from python-belajar.github.io

Kumpulan Soal Ekonomi Kelas 10 Beserta JawabannyaManfaatkan waktu sebaik baiknya jawaban. Soal dan jawaban ekonomi kelas 12 kurikulum 2013. 100 Contoh Soal USBN Sosiologi Kelas 12 Beserta Jawabannya kurikulum 2013 diambil dari USP tahun sebelumnya 20192020.

Online writing service includes the research material as well but these services are for assistance purposes only.

Soal pilihan ganda ekonomi kelas 11 beserta jawaban soal uas ekonomi kelas xi semester 2 kurikulum 2013. Contoh soal usbn ekonomi sma kurikulum 2013 beserta jawaban contoh. Kumpulan Soal Essay Ekonomi Kelas 12 Beserta Jawabannya online writing service that offers custom written papers including research papers thesis papers essays and others. 20200917 Posting pada ekonomi ips umum ditag soal ekonomi akuntansi.