Kumpulan Soal Fungsi Invers Dan Penyelesaiannya

Materi Pendidikan dan Soal.

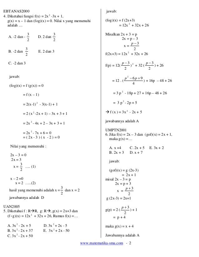
Kumpulan Soal Fungsi Invers Dan Penyelesaiannya. Setelah persamaan x diperoleh maka ubah x menjadi invers fungsi atau f 1 x dan ubah y menjadi x. Soal dan pembahasan komposisi dan invers fungsi berikut ini adalah kumpulan beberapa soal mengenai komposisi dan invers fungsi tingkat sma sederajat disertai pembahasannya.

Contoh Soal Dan Pembahasan Tentang Fungsi Komposisi Dan Invers Ajar Hitung
Contoh Soal Dan Pembahasan Tentang Fungsi Komposisi Dan Invers Ajar Hitung from www.ajarhitung.com

Contoh Soal Matematika Kelas 10 Semester 1 Dan Penyelesaiannya. Diketahui fungsi f x 3x 5 dan. Setelah persamaan x diperoleh maka ubah x menjadi invers fungsi atau f 1 x dan ubah y menjadi x.

Fungsi dalam istilah matematika merupakan pemetaan setiap anggota sebuah himpunan kepada anggota himpunan yang lain.

Fungsi invers dalam materi pembelajaran matematika memiliki istilah lain fungsi kebalikan. Contoh soal dan jawaban tentang fungsi invers. Materi fungsi invers akan mulai dikupas tuntas sampai kelas 12 dan dimuat dalam soal ujian akhir penentu kelulusan. Sederhananya adalah fungsi bijektif terjadi saat jumlah anggota domain.