Kumpulan Soal Integral Pdf

Materi Pendidikan dan Soal.

Kumpulan Soal Integral Pdf. Jika f terintegralkan pada suatu selang yang mengandung tiga titik a b dan c maka. Demikianlah pembahasan mengenai contoh soal integral tentu tak tentu substitusi parsial dan rumus semoga dengan adanya ulasan tersebut dapat menambah wawasan dan.

Kumpulan Rumus Integral Trigonometri Matematika Belajar
Kumpulan Rumus Integral Trigonometri Matematika Belajar from id.pinterest.com

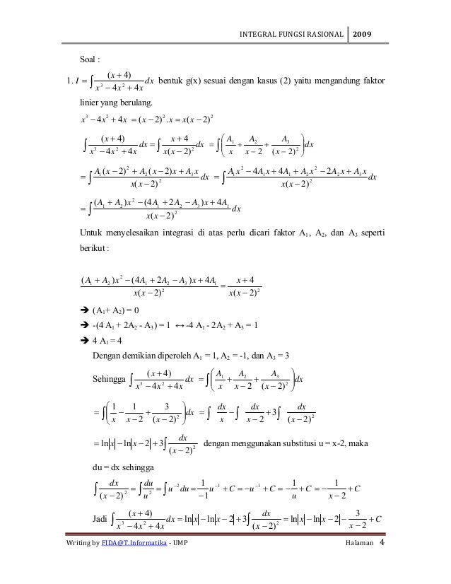
Berikut adalah kumpulan contoh soal integral yang berguna bagi anda yang ingin belajar tentang integral dan melatih kemampuan anda maupun murid anda dalam menyelesaikan persoalan integral. Microsoft Word - Contoh-contoh Soal dan Pembahasan Integral untuk SMAdoc Author Purwanto Wahyudi Created Date 142010 45638 PM. Integral trigonometri rumus integral cos soal pembahasan integral trigonometri adalah hasil kebalikan dari turunan trigonometri.

A single issue is a good nutrition is.

Soal-soal Integral dan Pembahasan ini diambil dari soal -soal UN Ebtanas dan Soal UASSoal Integral ini sudah dilengkapi dengan pembahasan lengkapnya. I learned more something totally new on this losing weight issue. Kalau kita lihat urutan kotak hitam yang di tengah dari kiri ke kanan dan dari atas. Jika F x adalah fungsi.