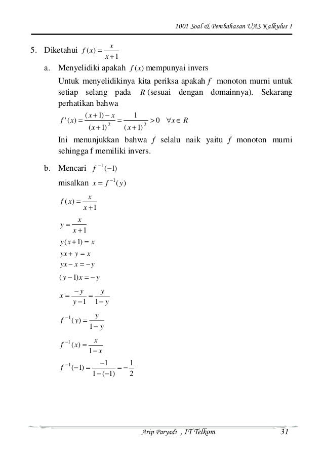
Kumpulan Soal Kalkulus Dan Pembhasan Fungsi. Contoh Soal Kalkulus Dasar dan Jawaban Pembahasan Kalkulus Merupakan Metode ini didasarkan pada turunan dan fungsi dengan metode yang didasarkan pada penjumlahan perbedaan yang sangat kecil. Dari persamaan 2 k n an a adalah bilangan pokok dan n adalah eksponen dari a.

Dari persamaan 2 k n an a adalah bilangan pokok dan n adalah eksponen dari a. Turunan dan integral ialah merupakan 2 fungsi yang sangat penting dalam kalkulus. Cari nilai y 6 f 1001 Soal Pembahasan UTS Kalkulus I b.
Karena fx ax b x2 1 maka fx a x2 1 2x ax b x2 12.
Soal Dan Pembahasan Fungsi Logaritma Pdf Download file ops sekolah kita. Karena fx ax b x2 1 maka fx a x2 1 2x ax b x2 12. Soal Dan Pembahasan Kalkulus 1. Fungsi dari A ke B adalah aturan memasangkan memadankan setiap elemen di A dengan tepat satu elemen di B.