Kumpulan Soal Kalkulus Lanjut. Contoh Soal Kalkulus Dasar dan Jawaban Pembahasan Kalkulus Merupakan Metode ini didasarkan pada turunan dan fungsi dengan metode yang didasarkan pada penjumlahan perbedaan yang sangat kecil. Inilah 10 Paket Soal Dan Pembahasan Utbk 2020 Silahkan Id.

SIFAT-SIFAT INTEGRAL LIPAT Integral lipat dua dan integral lipat tiga mewarisi hampir semua. Latexpage berikut ini adalah 5 soal uas kalkulus integral ta 2017 2018 yang diujikan pada tanggal 15 januari 2018 oleh drs. 23 Teknik Mengerjakan Soal Integral.
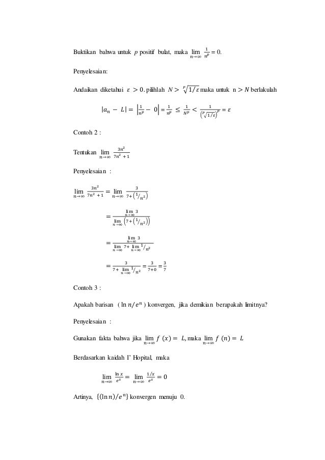
Contoh soal dan pembahasan integral tak tentu integral tentu kalkulus 2.
Bab yang diujikan mulai dari Sistem Bilangan Real sampai Turunan. Contoh soal kalkulus vektor. Lim x 32 3 2 x x 3 lim x 3 2x 6 3x x 3 lim x 3 2x 3 3xx 3 lim x 3 2 3x 2 9. Kalkulus diferensial yaitu salah satu cabang kalkulus dalam matematika yang juga mempelajari bagaimana nilai suatu fungsi akan berubah menurut perubahan input nilainya.