Kumpulan Soal Keamanan Jaringan Kelas 12

Materi Pendidikan dan Soal.

Kumpulan Soal Keamanan Jaringan Kelas 12. Kembali lagi bersama saya Dimas Satria di DIMASDFG BLOG. Tweet 0 Komentar untuk Soal keamanan jaringan kelas XII TKJ Silahkan berkomentar sesuai artikel Newer Post Older Post Home.

Bahan Soal Keamanan Jaringan
Bahan Soal Keamanan Jaringan from id.scribd.com

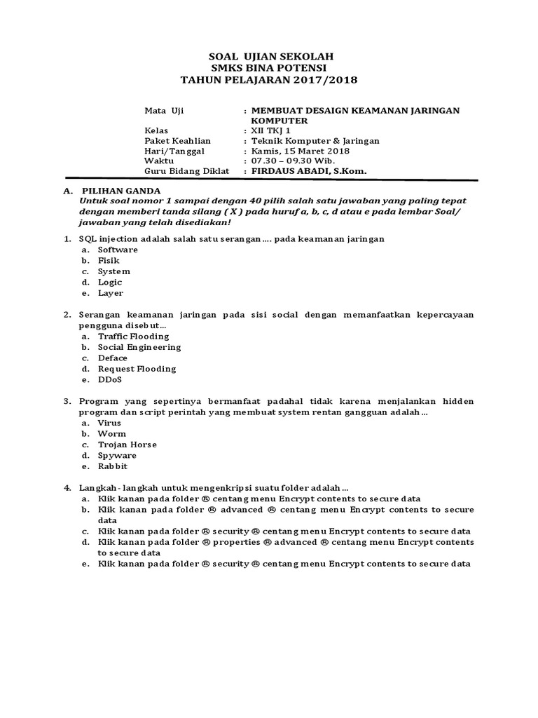
KUMPULAN SOAL TLJ KELAS 12 1. Soal-soal ulangan Administrasi Infrastruktur Jaringan KD 1 Kelas XII TKJ SMK Binakarya Mandiri 2 Bekasi 3 Job Lab Firewall AIJ Thanks for watching Assalamualaikum wr wb saya Risna Yanwari kelas 12 TKJ A. Kumpulan komputer dalam suatu ruangan c.

Dengan adanya latihan soal ini saya harap semua pihak.

Soal Pilihan Ganda dan Jawaban Administrasi Infrastruktur Jaringan Semester Ganjil administrasi infrastruktur jaringan administrasi infrastruktur jaringan kelas 12 administrasi infrastruktur jaringan kelas 11. Aplikasi yang digunakan untuk membuat server voip adalah a. Kumpulan tugas anak-anak XIITKJ1 SMK N 1 Slawi tahun pelajaran 20152016 Share. Soal administrasi server kelas 11 dan jawabannya khoirul muna 2015 12 13t18 47 00 08 00 5 0 stars based on 35 reviews 1.