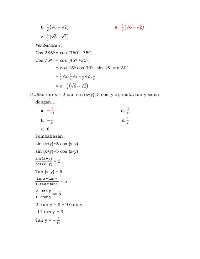
Kumpulan Soal Kelas 10 Sin Cos Tan. Sin a sin b e. Sin - cos a cos b 2.

Pembahasan Soal Trigonometri Kelas 10 IlmuSosialid Pembahasan soal trigonometri kelas 10. Sin x 0 sin 25 0 maka diperoleh. Cos a cos b d.
A 1 2 p rad b 3 4 p rad.
Berilah tanda silang x pada huruf a b c atau d di depan jawaban yang benar. Materi matematika kelas 10 sma kurikulum 2013 semester 1 2 bab 8 trigonometri ukuran sudut derajat dan radian konsep dasar sudut materi pembelajaran perbandingan trigonometri pada segitiga siku siku nilai perbandingan trigonometri di berbagai kuadran perbandingan. Materi Trigonometri Kelas 10 Smk Pdf - Pengertian integral trigonometri integral trigonometri rumus integral cos soal. 1 Pada segitiga PQR di bawah ini sin beta.