Kumpulan Soal Komposisi Dan Invers

Materi Pendidikan dan Soal.

Kumpulan Soal Komposisi Dan Invers. Maka dari itu alangkah baiknya materi ini teman-teman kuasai dan bisa menjadi target salah satu soal. Soal juga dapat diunduh dengan mengklik tautan berikut.

Latihan Soal Fungsi Komposisi Dan Fungsi Invers
Latihan Soal Fungsi Komposisi Dan Fungsi Invers from id.scribd.com

KUMPULAN SOAL INDIKATOR 8 UN 2011 Menentukan komposisi dua fungsi atau fungsi invers. Contoh soal dan pembahasan tentang fungsi komposisi. KUMPULAN MODEL SOAL SBMPTN FUNGSI KOMPOSISI DAN INVERS Posted by Edutafsi on 18 August 2015 - 1048 AM Jika fx 4x - 3 x 2 maka turunan f.

Diketahui fungsi-fungsi f.

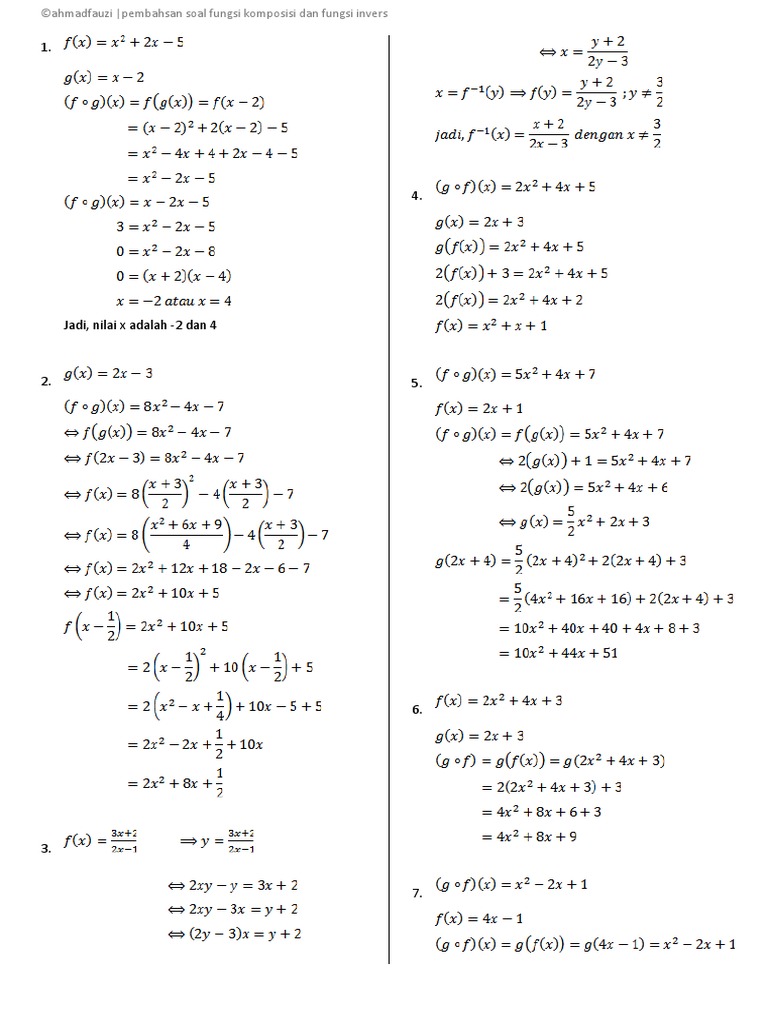
Soal dan Pembahasan Komposisi dan Invers Fungsi Berikut ini adalah kumpulan beberapa soal mengenai komposisi dan invers fungsi tingkat SMASederajat disertai pembahasannya. Fungsi Komposisi Dari dua jenis fungsi fx dan gx kita bisa membentuk sebuah fungsi baru dengan menggunakan sistem operasi komposisi. Jika adalah invers fungsinya yaitu dan maka dirumuskan beserta contohnya. Soal fungsi komposisi kelas 10.