Kumpulan Soal Latihan Ujian Penerimaan Calon Pegawai Negeri Sipil Pdf

Materi Pendidikan dan Soal.

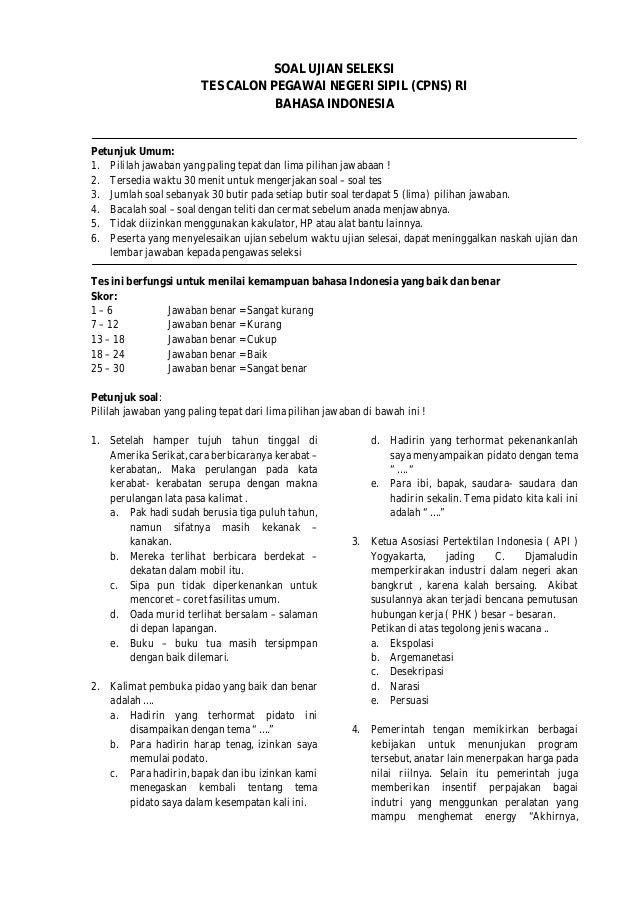
Kumpulan Soal Latihan Ujian Penerimaan Calon Pegawai Negeri Sipil Pdf. Pilihlah kalimat yang terbaik yang tersedia pada setiap nomor. Cpns mahkamah agung 2019 pdf.

Contoh Soal Tes Cpns Kejaksaan
Contoh Soal Tes Cpns Kejaksaan from rentagoodtext.web.fc2.com

Akan tetapi dalam menghadapi tes seleksi penerimaan calon pegawai negeri sipil anda tentu harus banyak berlatih soal-soal sebagai persiapan anda dalam menghadapi ujian seleksi penerimaan CPNS nanti. Aplikasi tryout dan latihan soal untuk umum khususnya para calon pegawai negeri sipil agar dapat lebih siap dalam menghadapi Ujian Penerimaan CPNS Calon PNS Pegawai Negeri Sipil. Contoh Soal Cpns 2021 Pdf Pendaftaran Cpns 2021 Untuk Lulusan Sma D3 S1 Kumpulan soal tes cpns 2020 ini merupakan kumpulan soal latihan seleksi calon pegawai negeri sipil disingkat cpns.

SARJANA I 1 anegeri.

Selalu menentang pada negara penjajah c. CPNSINFO merupakan Portal Kumpulan Berita Resmi CPNS dari berbagai media baik cetak maupun online seperti Kemenpan-RB BKN Panselnas CPNS dan sumber terpercaya lainnya. Contoh Soal Cpns 2021 Pdf Pendaftaran Cpns 2021 Untuk Lulusan Sma D3 S1 Kumpulan soal tes cpns 2020 ini merupakan kumpulan soal latihan seleksi calon pegawai negeri sipil disingkat cpns. Akan tetapi dalam menghadapi tes seleksi penerimaan calon pegawai negeri sipil anda tentu harus banyak berlatih soal-soal sebagai persiapan anda dalam menghadapi ujian seleksi penerimaan CPNS nanti.