Kumpulan Soal Logaritma Dan Eksponen

Materi Pendidikan dan Soal.

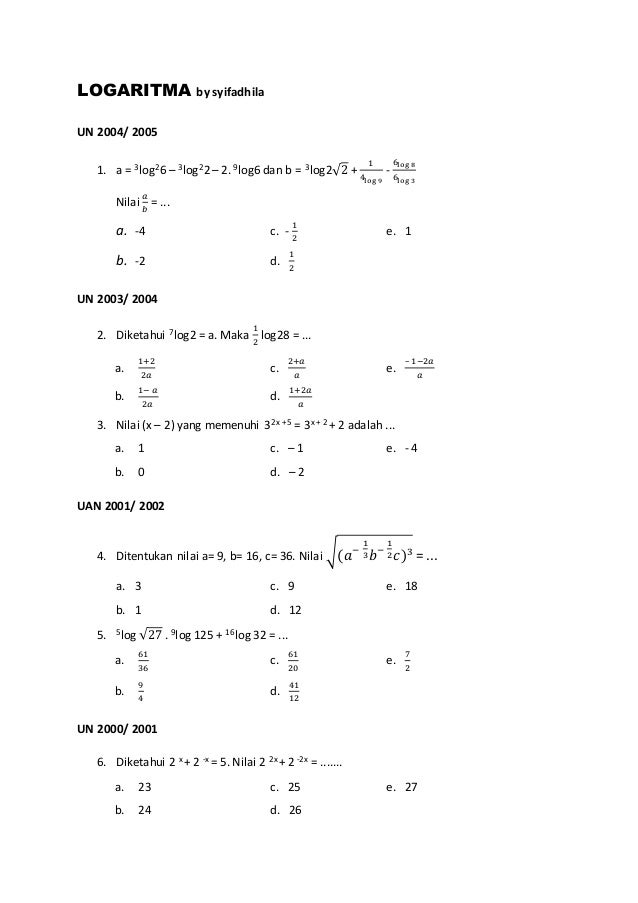
Kumpulan Soal Logaritma Dan Eksponen. Soal dan pembahasan matematika logaritma 1 6 kumpulan soal dan pembahasan logaritma persamaan logaritma persamaan bentuk pangkat persamaan eksponen. May 7 2015 khofifanajma Kumpulan Pembahasan Soal Soal dan Pembahasan Fungsi Eksponen dan Logaritma UAN 20052006 Nilai x yang memenuhi persamaan 2 log 2 log 2 x1 3 1 2 log x adalah.

Soal Matematika Pembahasan Eksponen Logaritma
Soal Matematika Pembahasan Eksponen Logaritma from id.scribd.com

Teori eksponen atau bilangan berpangkat merupakan materi yang sering diujikan. 20201011 Contoh soal dan pembahasan grafik fungsi eksponen cara menggambar grafik fungsi eksponen. May 7 2015 khofifanajma Kumpulan Pembahasan Soal Soal dan Pembahasan Fungsi Eksponen dan Logaritma UAN 20052006 Nilai x yang memenuhi persamaan 2 log 2 log 2 x1 3 1 2 log x adalah.

Hitunglah kelarutan NiOH2 pada.

Teori eksponen atau bilangan berpangkat merupakan materi yang sering diujikan. 29 balasan ke kumpulan soal dan pembahasan eksponen dan logaritma. Contoh Soal Eksponen Kelas 10 dan Logaritma Berikut Pembahasan dan Jawaban Soal No1 UTBK 2019 Jika 0 a 1 maka mempunyai penyelesaian x log a 3 x -2 log a 3 x log a 3 x -log a 3 x 2 log a 3 3 a x. Berikut disajikan sejumlah soal dan pembahasan terkait fungsi eksponen pangkat yang dipelajari saat kelas x pada mata pelajaran matematika peminatan.