Kumpulan Soal Polinomial

Materi Pendidikan dan Soal.

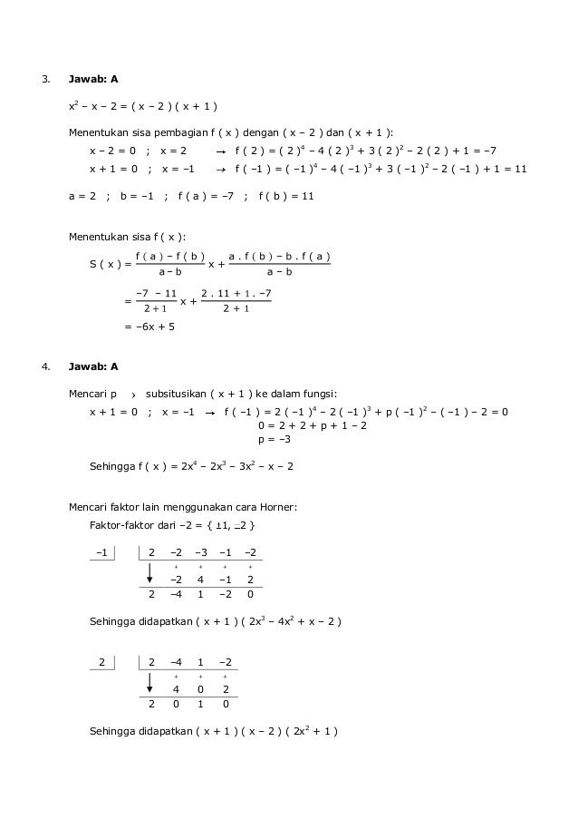
Kumpulan Soal Polinomial. Download Contoh Soal Cerita Polinomial Dan Jawabannya PDF 800 MB - SamPDF SamPDF menggunakan metode subtitusi dan metode horner. Contoh Soal Polinomial menjadi topik pembahasan pada kesempatan kali ini.

Contoh Soal Dan Pembahasan Polinomial Ilmusosial Id
Contoh Soal Dan Pembahasan Polinomial Ilmusosial Id from www.ilmusosial.id

Metode horner terbalik maksudnya disini adalah kita mengerjakan horner dari kanan. Kumpulan soal dan pembahasan suku banyak teorema sisa posted by edutafsi on 01 december 2014 10 17 am pada umumnya kita dapat menyelesaikan permasalahan suku banyak atau polinomial dengan menggunakan prinsip. We are using wp-automatic plug-in which periodically search and post YouTube video automatically with keyword soal cpns and contoh soal cpns.

Tempat untuk Latihan Kelas 11 Kurikulum 2013 Revisi SMA Polinomial.

All video source collected from YouTube. Contoh Soal Polinomial Misalkan diketahui Fx 2x 3 3x 2 x 5 Px 2x 2 x 1 Tentukan hasil bagi dan sisanya menggunakan metode tak tentu Pembahasan m 3 n. Metode horner terbalik maksudnya disini adalah kita mengerjakan horner dari kanan. Mengingat banyak permintaan dari teman-teman Kursiguru akan membagikan kumpulan soal polinomial beserta jawabannya.