Kumpulan Soal-soal Integral Sma-pdf

Materi Pendidikan dan Soal.

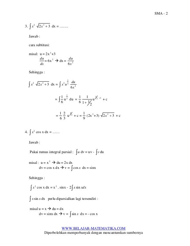
Kumpulan Soal-soal Integral Sma-pdf. Semua latihan soal pada halaman ini sudah disesuaikan. Selesaikanlah soal-soal berikut ini.

Contoh Soal Integral Tentu Tak Tentu Substitusi Parsial Trigonometri
Contoh Soal Integral Tentu Tak Tentu Substitusi Parsial Trigonometri from rumusrumus.com

Kumpulan soal UN i 137 Votes Pilihlah salah satu jawaban paling tepat dari 5 pilihan 1Bacalah wacana berikut dengan saksama. Maaf sebelumnya gan ini ada sedikit info tambahan mengenai pembelajaran materi sma di website. Sebelum download pastikan melihat preview -nya terlebih dahulu untuk memastikan soal-soal Integral Tak Tentu berikut sesuai dengan yang teman-teman perlukan atau tidak.

Download Kumpulan Soal Un Sma Ips Dan Pembahasan PDF 2000 MB - SamPDF SamPDF 012720 34.

Untuk hal tersebut maka admin akan membagikan contoh soal ulangan yang sudah dirangkum dari beberapa sumber. Teknik Integral Substitusi Trigonometri secara khusus digunakan jika ada bentuk sqrta2 b2x2 sqrta2. Kumpulan link download soal dan pembahasan akm 2021 bahasa. Microsoft Word - Contoh-contoh Soal dan Pembahasan Integral untuk SMAdoc Author Purwanto Wahyudi Created Date 142010 45638 PM.