Soal Integral Tak Tentu Un Ipa

Materi Pendidikan dan Soal.

Soal Integral Tak Tentu Un Ipa. 10 contoh soal integral tak tentu BPJS cabut berkas contoh surat pencabutan berkas di bpn contoh berkas cahaya konvergen contoh berkas cv contoh berkas cv lengkap contoh berkas cv pdf contoh berkas daftar riwayat hidup. Hasil integral tak tentu 5 dx.

Contoh Soal Integral Tak Tentu Dunia Belajar
Contoh Soal Integral Tak Tentu Dunia Belajar from duniabelajar-3.blogspot.com

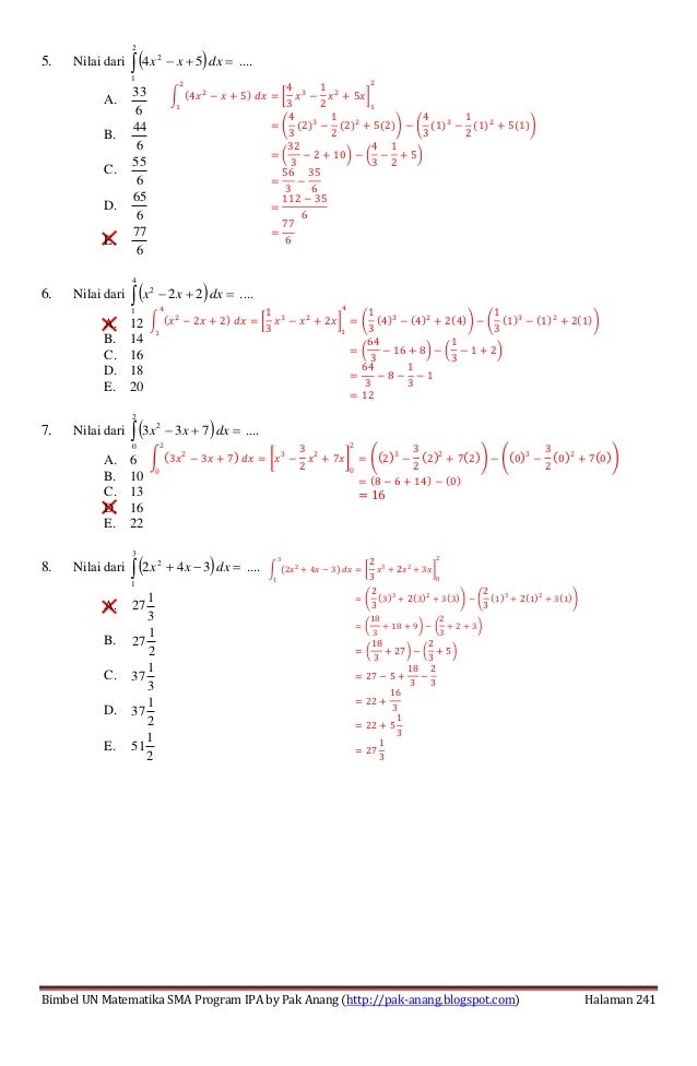
Soal Uan Dan Pembahasan Integral Tak Tentu Luas daaerah yang dibatasi kurva y x 2 dan garis x y 6 adalah. Pada soal ini diketahui a 5 dan n 0 maka hasil integralnya sebagai berikut. Pembahasan soal soal ujian nasional un sma bidang studi matematika ipa untuk materi pembahasan integral fungsi aljabar yang meliputi integral tentu integral tak tentu dan integral substitusi dari fungsi fungsi aljabar.

Pembahasan soal soal ujian nasional un sma bidang studi matematika ipa untuk materi pembahasan integral fungsi aljabar yang meliputi integral tentu integral tak tentu dan integral substitusi dari fungsi fungsi aljabar.

Materi soal dan pembahasan teorema bendera inggris may 10 2020. Pembahasan soal soal ujian nasional un sma bidang studi matematika ipa untuk materi pembahasan integral fungsi aljabar yang meliputi integral tentu integral tak tentu dan integral substitusi dari fungsi fungsi aljabar. Soal Uan Dan Pembahasan Integral Tak Tentu Luas daaerah yang dibatasi kurva y x 2 dan garis x y 6 adalah. Pembahasan soal soal ujian nasional un sma bidang studi matematika ipa untuk materi pembahasan integral fungsi aljabar yang meliputi integral tentu integral tak tentu dan integral substitusi dari fungsi fungsi aljabar.