Soal Pilgan Parabola Matematika Dan Pembahasanya Kelas 11 Ipa

Materi Pendidikan dan Soal.

Soal Pilgan Parabola Matematika Dan Pembahasanya Kelas 11 Ipa. Tempat paling gokil buat persiapan UN SMP IPA. Contoh soal dan pembahasan tentang volume benda putar dengan integral.

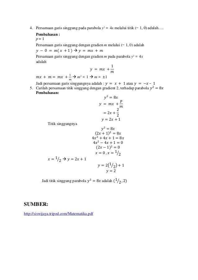
Soal Dan Pembahasan Parabola
Soal Dan Pembahasan Parabola from www.slideshare.net

Soal dan Pembahasan Termokimia Kelas XI IPA. Contoh soal dan pembahasan tentang integral. Bahan yang diuji adalah.

Soal ipa kelas 9 semester 2 dan kunci jawaban 2020.

Dan untuk menyelesaikan soal tersebut kita perlu memodifikasi soal tersebut sesuai sifat log yang telah disebutkan di atas. Persamaan parabola beserta rumus rumusnya sudah kita bahas pada artikel saya terdahulu. 10 ini terkesan mirip dengan soal no. Soal Matematika Kelas 10 dan Pembahasannya Kurimkulum 2013 Berikut ini adalah soal dengan diskusi kelas 10 semester 1 dan 2 matematika di tahun ajaran 20172018.