Soal Trigonometri Kelas 2 Sma Ipa

Materi Pendidikan dan Soal.

Soal Trigonometri Kelas 2 Sma Ipa. Contoh soal pembahasan trigonometri kelas x 10 soal no 1 utbk 2019 jika diketahui x sin α sin β dan y cos α cos β maka nilai terbesar x 2 y 2 tercapai saat. Artikel ini berisi kumpulan latihan soal penilaian akhir semester PAS matematika untuk smp kelas 9 lengkap dengan pembahasan.

Catatan Tentang Final Persamaan Eksponen Clear Di 2021 Pelajaran Matematika Matematika Trigonometri
Catatan Tentang Final Persamaan Eksponen Clear Di 2021 Pelajaran Matematika Matematika Trigonometri from id.pinterest.com

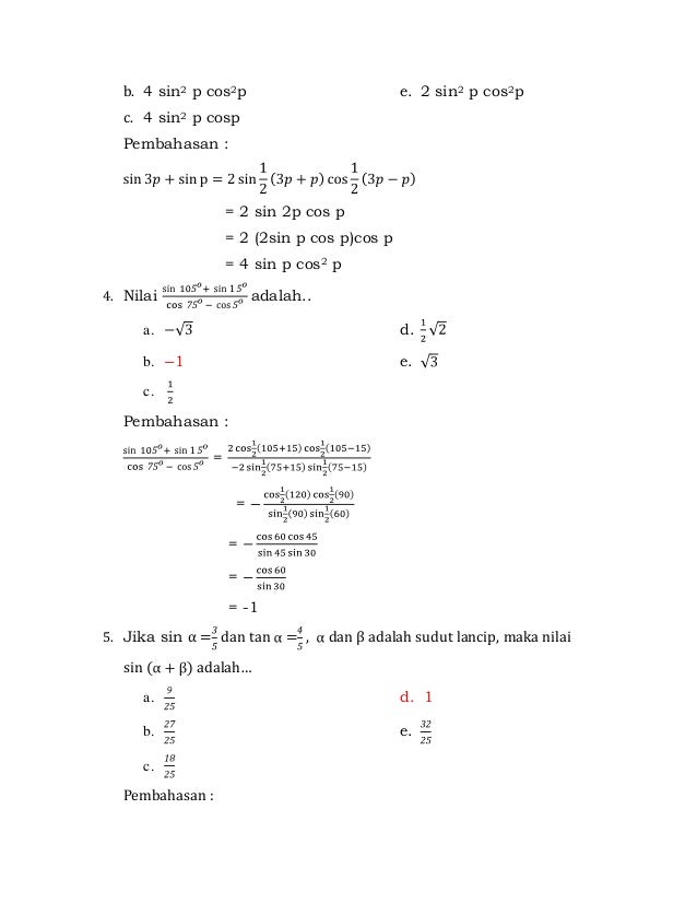
Jika α merupakan sudut lancip dan sinα3 5 maka nilai dari cos 2α. Tengok dulu 3 kelompok rumus penyelesaian persamaan trigonometri berikut. Untuk membantu para siswa sma dalam menghadapi.

25 24 B.

Persamaan dan fungsi kuadrat Indikator. Contoh soal pembahasan trigonometri kelas x 10 soal no 1 utbk 2019 jika diketahui x sin α sin β dan y cos α cos β maka nilai terbesar x 2 y 2 tercapai saat. Trigonometri materi kelas X SMA semester 2 1. Jika α merupakan sudut lancip dan sinα3 5 maka nilai dari cos 2α.