Soal Trigonometri Kelas Xi Ipa

Materi Pendidikan dan Soal.

Soal Trigonometri Kelas Xi Ipa.

Catatan Tentang Trigonometri Sma Clear Trigonometri Matematika Matematika Kelas 8
Catatan Tentang Trigonometri Sma Clear Trigonometri Matematika Matematika Kelas 8 from id.pinterest.com

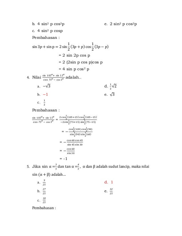
Un 2017 himpunan penyelesaian persamaan cos 2x cos x untuk 0 x 2π adalah. SOAL TRIGONOMETRI KELAS XI 1. 1 4 2 31 E.

Mulai dari fungsi trigonometri persamaan trigonometri rumus jumlah dan selisih sinus dan cosinus irisan kerucut polinomial irisan.

SOAL TRIGONOMETRI_KELAS_XI_IPA Author DE BRITTO Created Date 4242012 80448 PM. Latihan soal persamaan trigonometri. Latihan Soal Trigonometri Kelas Xi Contoh Soal Dan Materi Pelajaran 5 Contoh Soal Trigonometri Kelas 12 Ipa Pembahasan Soal Persamaan Trigonometri 5 Bentuk Kuadrat Youtube Soal Dan Pembahasan Trigonometri Guru. Ukuran Penyebaran Data Tunggal 15.